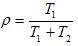
式中T1為繼電器觸點接通時間;T2為繼電器觸點斷開時間。 這樣時間比值ρ和輸入加熱器的功率大小相對應。若使控制器做到溫度上升時ρ減小,使觸點接通時間T1減小,觸點斷開時間T2增加;若溫度下降時使ρ增大,使觸點接通時間T1增加,觸點斷開時間T2減小,就達到了控制溫度的目的,這種控制方式就是時間比例控制。能起比例作用的范圍占滿刻度的百分數,稱為比例帶。圖1是時間比值與溫度偏差的關系。一般要求溫度偏差為零時,即實際溫度為給定溫度時T1=T2,這時相當于50%的平均加熱功率。當溫度高于給定值時,ρ值變小,這時T1<T2,相當于平均加熱功率小于50%。當溫度低于給定值時,ρ值變大,這時T1>T2,相當于平均加熱功率大于50%。
圖1 時間比值與溫度偏差的關系
時間比例控制方式雖然仍是繼電器觸點的通斷,但是由于其動作周期相對于被加熱的熱慣性來說是很短的,并且通斷時間比值又是隨溫度的偏差而變化的,所以它能把溫度穩定在所要求的某一數值上。其控制效果比位式控制要好,時間比例也有不足之處,如在應用時會出現靜差,就必須重調給定。
以上分析是以動圈儀表為例的。那繼電器輸出的溫控器又是怎樣做的呢?繼電器輸出的溫控儀其時間比例輸出,也是通過調整內部繼電器的通斷比例來實現的,其輸出值大小正比于方波的占空比,從0%-100%可調,并可在0%-100%之間任意設定輸出限制值。但是該輸出繼電器的動作是受控于溫控器的輸出信號。可以說,繼電器輸出的溫控器的時間比例與動圈儀表的相比,也有很大的差別了。
在實際應用過程中選用時間比例控制的溫控儀來控制電爐絲的加熱,如果要求控溫誤差小,溫控器經過自整定獲得最佳參數,這時溫控器在實際溫度臨近設定溫度值時控制繼電器動作很頻繁,只有頻繁動作才能保證溫度不超調或欠調,這樣會讓接觸器觸點壽命急劇縮短。如何處理這一問題呢?云南昌暉儀表制造有限公司工程師建議選用SSR固態繼電器驅動電壓輸出的溫控儀,讓溫控器控制固態繼電器動作達到控制的目的。但這種方式依然有它的局限性,這是因為固態繼電器允許通過工作電流都不太大,不能滿足大功率加熱設備的要求。
